The amino acid L-ornithine is one of the most unknown substances in the field of sports. However, it has started to be used as a performance enhancer or hormone balance stimulant. Keep reading to find out more.
Index
What is L-Ornithine?
In short, L-Ornithine is an amino acid bound to a carbon atom in isomer L-.
Above all, said amino acid is present in products like wild rice, Brazil walnuts and oregano, to name a few.
Our body produces ornithine too, in other words, it is a non-essential amino acid. Moreover, it is not a protein amino acid either because its synthesis takes place in the central part of the urea cycle. Therefore, it is an intermediary in this metabolic process.

Figure I. Urea cycle with mediators and enzymatic reactions.
General uses of L-Ornithine
Ornithine is a relatively unknown amino acid in the field of sports. Although it has been studied as a sport performance enhancer and hormone stimulant. Moreover, it supports the urea cycle and the conversion of ammonia in urea for its later elimination.
Benefits of L-Ornithine
The scientific evidence that backs up the benefits of using this amino acid is quite limited.
At first, the focus was on the causes of a serum ornithine deficiency in the body. In fact, it can be fatal, causing hyperammonemia to the point that experiment animals (rats) died after 14 days. This was due to the excessive concentration of ammonia (Deignan et al. 2006)[1], a very toxic substance if we do not excrete it through the urine.
Most of the causes of an ornithine deficiency in the body are: an excess of lysine, growth, pregnancy, traumas, extreme protein restriction (Zieve, 1986)[6]. Moreover, it can also be due to a deficiency of the enzymatic activity of any of the hormones involved in the urea cycle, usually OTC or OAT.
Otherwise, the arginine levels will increase while the ornithine ones drop drastically. The result is a deadly hyperammonemia due to a ornithine deficiency.
That is why ornithine supplementation is not as useful in this sense. Extreme traumas or enzymatic deficiencies are very serious and you should seek the help of a professional to treat them.
In case of suffering a conditional deficit, it should be enough to increase its intake in the diet.
L-Ornithine in sports
Ornithine has been widely used for bodybuilding without exactly knowing why. It was based on suppositions without any scientific evidence.
Studies and essays about L-Ornithine
First of all, there is a study by Ho et al. (2017)[2] where they gave L-Ornithine to rats by intraduodenal administration (not stomach or hypothalamus). They concluded that it increased the mRNA expression of Ghrelin which is the direct agonist of its receptor (involved in the production of the GH). Therefore, it also increased the plasma growth hormone levels considerably with doses of 24mMol/kg of L-Ornithine.

Figure II. Serum GH concentrations (ng/ml) in 5, 10, 15, 30 and 60’ after intraduodenal administration of a placebo vs 3mMol/kg of L-Ornithine vs 24mMol/kg of L-Ornithine in rats. (Ho et al. 2017)
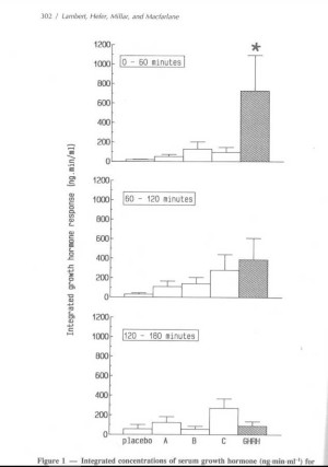
After studies of this kind, scientists theorized a lot about the GH being sensitive to Ghrelin whose secretion is stimulated after taking L-Ornithine. However, in 1993, Labert et al. [4] already showed that taking 1.85g of L-Ornithine/L-Tyrosine orally (B) does not increase the serum HGH concentrations significantly.

Figure III. Serum concentrations of hGH (ng*min/ml) after oral intake of 1.85g of L-Ornithine+L-Tyrosine supplement in humans (column B) vs reference value (Placebo) vs 0.5mcg GHRH (column GHRH). (Lambert et al. 1993)
But we cannot conclude anything because the L-Ornithine dose is low and there are no studies with higher doses.
Less cortisol
This study concluded that the markers analyzed such as DHEA-S increase, while cortisol dropped.

Figure IV. Concentrations of DHEA-S, Cortisol and Ratio C:D for 8 weeks after taking L-Ornithine (black dots) vs placebo (white dots) (Miyake et al. 2014)

Figure V. POMS Mood markers (A, Tension-Anxiety; B, Depression; C, Anger-Hostility; D, Vigor; E, Fatigue; F, confusion) for 8 weeks after taking L-Ornithine (dark dots) vs placebo (white dots) (Miyake et al. 2014)
Insomnia markers
In addition, they also assessed the quality of sleep with OSA-MA and the insomnia markers (AIS) improved considerably.

Figure VI. Quality of sleep markers OSA (A, Somnolence after waking up; B, Initiation and continuation of sleep; C, Frequent sleep; D, “recovery” after sleeping; E, Duration of sleep) for 8 weeks after taking L-Ornithine (dark dots) vs placebo (white dots) (Miyake et al. 2014)

Figure VII. Insomnia Marker in the ISA scale for 8 weeks after taking L-Ornithine (dark dots) vs placebo (white dots) (Miyake et al. 2014)
Moreover, there are other studies that show similar results, such as the one by Kurata et al. (2012) [3] in animal models.
Bibliography
- Deignan, J. L., Livesay, J. C., Yoo, P. K., Goodman, S. I., O’Brien, W. E., Iyer, R. K., … Grody, W. W. (2006). Ornithine deficiency in the arginase double knockout mouse. Molecular Genetics and Metabolism, 89(1–2), 87–96. https://doi.org/10.1016/j.ymgme.2006.04.007
- Ho, Y. Y., Nakato, J., Mizushige, T., Kanamoto, R., Tanida, M., Akiduki, S., & Ohinata, K. (2017). l-Ornithine stimulates growth hormone release in a manner dependent on the ghrelin system. Food & Function, 8(6), 2110–2114. https://doi.org/10.1039/c7fo00309a
- Kurata, K., Nagasawa, M., Tomonaga, S., Aoki, M., Akiduki, S., Morishita, K., … Furuse, M. (2012). Orally administered L-ornithine reduces restraint stress-induced activation of the hypothalamic-pituitary-adrenal axis in mice. Neuroscience Letters, 506(2), 287–291. https://doi.org/10.1016/j.neulet.2011.11.024
- Lambert, M. I., Hefer, J. A., Millar, R. P., & Macfarlane, P. W. (1993). Failure of commercial oral amino acid supplements to increase serum growth hormone concentrations in male body-builders. International Journal of Sport Nutrition, 3(3), 298–305.
- Miyake, M., Kirisako, T., Kokubo, T., Miura, Y., Morishita, K., Okamura, H., & Tsuda, A. (2014). Randomised controlled trial of the effects of L-ornithine on stress markers and sleep quality in healthy workers. Nutrition Journal, 13, 53. https://doi.org/10.1186/1475-2891-13-53
- Zieve, L. (1986). Conditional deficiencies of ornithine or arginine. Journal of the American College of Nutrition, 5(2), 167–176.

Fitness, Nutrition, Health and Sports Blog In the HSNstore Blog you will find tips about Fitness, sport in general, nutrition, and health – HSNstore.com 

