Vitamin D is an indispensable element for the absorption of Calcium in the human body. It helps to maintain a healthy bone mineral density that prevents the problems that can be caused by a deficiency of this mineral.
Index
Bone Mineral Density and Osteoporosis
The bone tissue from the body is made up of heterogeneous material. First, there is a mineral layer, Hydroxyapatite (made up by crystalline calcium phosphate), an organic layer (∼90% type one collagen, ∼5% non-collagen proteins (NPCs), ∼2% lipids) and water; as explained by Boskey, 2013.
The bone mineral density is the amount of mineral mass in a determined bone volume. It plays a key role in the health and resistance of the tissue.

Our bone mineral density deteriorates as we age, a condition that is called osteopenia. A negative bone remodelling can results in a condition called osteoporosis. This basically involves a loss of bone density and bone tissue that becomes fragile and prone to suffering fractures
Calcium and its role
Calcium is a macro-element that is mostly present in the bone tissue (~99%) from the body. It performs the tasks of intracellular message carrier, hormone controller and structural functions on the bone.
The values in the calcium balance (or “calcium retention”) can show the condition, maintenance or loss of bone (Ross et al., 2011).
The previous paragraph refers to the importance of taking calcium for the bone mineral density. We need to consume an amount that produces a positive balance (calcium retention) which is related to a maintenance (or even increase) of the bone mineral density. This condition, as we have previously explained, plays a very important role in our bone health.
Sources
The main sources of calcium are milk and dairy products, nuts, fish with spine and some vegetables such as broccoli, kale, cabbage… to a less extent.

Recommended Daily Amount
The recommended dose is 900mg daily for men older than 18 and 1000mg daily for children and adolescents <18, women and men >60.
Vitamin D and its Role
Vitamin D is a fat-soluble vitamin. Most of the European population suffers a deficiency of this vitamin that plays a fundamental role in the metabolism of calcium. It improves the maintenance of the circulatory system of the body as well as being an indispensable element for the sport performanceSources
Vitamin D is pre-formed on the skin as 7-dehydrocholesterol and we transform it into cholecalciferol (Vitamin D3) through the UV radiation from the sun. We can also find Vitamin D in fish liver oil and fatty fish, whole dairy products, egg yolk and enriched products.

We usually do not consume these sources enough, which is why vitamin D3 supplementation becomes especially important for people who lack this vitamin
Vitamin D Deficiency

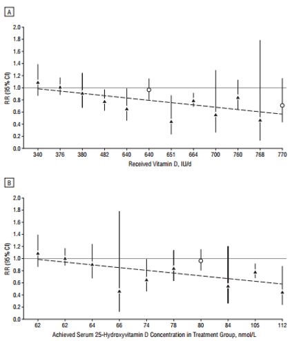
This graphic has been taken from an article by Bischoff-Ferrari et al., 2009. It shows how a higher intake of vitamin D and higher serum concentrations in the plasma (X axis) are connected to a lower relative risk (Y axis) of non-vertebral fractures.
The same authors concluded that:
Preventing non-vertebral fractures with vitamin D is dose-dependant. A higher dose should lower the fractures to a 20% at least in people ≥65
Recommended Daily Amount
The recommended dose of vitamin D is 5 micrograms daily and 30 minutes sunbathing. We will need to slightly increase the intake of vitamin D if we cannot sunbathe.
The Calcium-Vitamin D Synergy
Calcium and vitamin D create a synergy, calcium meets all the structural functions in the bone tissue and vitamin D contributes to its metabolism by increasing its renal re-absorption.
It is absolutely necessary to have a proper calcium and vitamin D reserves to take care of our health properly. This is also necessary to achieve effective pharmacological treatment against osteoporosis(Sunyecz, 2008).
How to Reduce the Osteopenia?
Nutrition
Smart food strategies to preserve and improve the bone health and its mineral density would involve ensuring the consumption of calcium and vitamin D. The best way of doing this consists of eating foods that are rich in both elements, such as whole dairy products, since their amino acids improve the calcium absorption.

Supplementation
The supplementation with vitamin D3 is almost mandatory for all the European population. That is why many doctors advise its consumption but, to make sure, we should analyze the 25-OH-Cholecalciferol plasma levels
Calcium can be taken through supplementation, especially by athletes that do non-impact sports or female endurance athletes who suffer hypoestrogenic amenorrhea. The intake should be distributed in several doses to improve its absorption. We have to pay attention to the intake of phosphorus as well, since this mineral increases the re-absorption and improves the demineralization.
Training
The calcium that we consumed needs to bound to the bones in order to improve their micro-structure. This is achieved by doing exercise that will stimulate this process, like exercises with osteo-articular impact (like running), or strong traction (such as strength training).

Strength training in the elderly is crucial to preserve their bone health
Sources
- Bischoff-Ferrari HA, Willett WC, Wong JB, Stuck AE, Staehelin HB, Orav EJ, Thoma A, Kiel DP, Henschkowski J. Prevention of Nonvertebral Fractures With Oral Vitamin D and Dose DependencyA Meta-analysis of Randomized Controlled Trials. Arch Intern Med. 2009;169(6):551–561. doi:10.1001/archinternmed.2008.600
- Boskey, A. L. (2013). Bone composition: relationship to bone fragility and antiosteoporotic drug effects. BoneKEy Reports, 2, 447. http://doi.org/10.1038/bonekey.2013.181
- Institute of Medicine (US) Committee to Review Dietary Reference Intakes for Vitamin D and Calcium; Ross AC, Taylor CL, Yaktine AL, et al., editors. Washington (DC): National Academies Press (US); 2011
- Sunyecz, J. A. (2008). The use of calcium and vitamin D in the management of osteoporosis. Therapeutics and Clinical Risk Management, 4(4), 827–836.
- Thacher, T. D., & Clarke, B. L. (2011). Vitamin D Insufficiency. Mayo Clinic Proceedings, 86(1), 50–60. http://doi.org/10.4065/mcp.2010.0567
Related Entries
- Vitamin D Dose. How much vitamin D do you need?
- Vitamin D Food Sources
- The Importance of Vitamin D – Purchase
- Joint Supplements
- Foods and products with Calcium – Foods Rich in Calcium
- Calcium Deficiency - Osteoporosis
- Do you need Calcium supplements? Get them here

Fitness, Nutrition, Health and Sports Blog In the HSNstore Blog you will find tips about Fitness, sport in general, nutrition, and health – HSNstore.com 
