Nitrogen Balance is a term used to describe the ratio of protein synthesis and degradation that our body undergoes
Index
What is Protein Turnover?
Protein metabolism is a complex of metabolic processes that we can boil down to the concept of “protein turnover or replacement”
Protein turnover is the relationship between protein synthesis and degradation, a positive balance for synthesis would be categorized as “anabolism”, versus a greater weight of degradation which would be considered “catabolism”.
The truth is that in the cells of all body tissues both processes alternate, protein synthesis/degradation as a REDOX process (Reduction-Oxidation); the net result over an undetermined period will conclude with a final outcome of the process.
Amino Acids and Nitrogen
The amino acids that make up proteins and peptides contain nitrogen atoms, which is the most commonly used measure to quantify the protein content of foods. In fact, AECOSAN often uses protein quantifications by volumetry applying the Kjeldahl method, which is based on quantifying the nitrogen load present in the food.
This undoubtedly leads to misunderstandings, since there are non-protein nitrogenous molecules; it’s simply a legal loophole.

Figure I. Reactions occurring at each stage of the Kjeldahl method for determining protein content in foods
The nitrogen balance technique has been used thanks to its non-invasive characteristics, where the procedure is reduced to quantifying nitrogen ingested minus nitrogen excreted; where a positive balance would result in PS (protein synthesis) > PB (protein breakdown), a neutral balance would be PS=PB, and a negative balance PS<PB.
Because of this, universally, mostly by people less trained in the field, protein turnover is reduced to the concept of nitrogen balance, the latter being just one more method to try to estimate protein metabolism.
Poortmans et al. (2012) show us that there are more techniques to quantify this:
- Non-invasive
- Administration of 2H2O
- Whole-body nitrogen balance
- Invasive
- Measurements of whole-body protein turnover through dilution of amino acid markers in plasma (stable isotope markers)
- Estimation of tissue protein synthesis measurement through arterio-venous difference
- Other recent, less validated methods.
Anabolism and Catabolism
The relationship between protein synthesis and degradation results in anabolic/catabolic processes
Both alternate, for example, during intense physical exercise a catabolic process predominates, versus the post-exercise recovery period where the anabolic process prevails if adequate post-workout nutrition has been provided.
Protein intake is crucial to ensure this anabolic process
Likewise, producing prolonged aminoacidemia is clearly superior to producing an acute release of amino acids in plasma where a percentage of them will be oxidized, transaminated, and not used for plastic functions.
Protein Absorption and Amino Acid Release
There is a big misconception about protein absorption
Where a large percentage of the population claims that co-ingestion of protein with fats and/or carbohydrates produces a more prolonged release of amino acids in plasma. This is completely wrong, extrapolated from the reduction of the glycemic index of carbohydrates when co-ingested with other nutrients.
The truth is that digestion and absorption can be slightly altered, but this does not produce any kind of release in the ratio of amino acid release, their bioavailability, nor myofibrillar protein synthesis.

This means that the absorption kinetics (a concept taken from pharmacology) of protein is reduced to the food source and not to the combination of nutrients per se
Factors Determining Protein Quality
What determines the quality of a protein source, according to the ISSNS (2005) by Hoffman & Falvo is:
- Protein rating scale
- Protein efficiency ratio
- Biological value
- Net protein utilization percentage
- Protein digestibility corrected amino acid score.
To determine the quality of a protein source, it boils down to weighing the above factors
That’s why plant proteins, even those with a complete amino acid profile, “usually score lower in biological value, net protein utilization, PDCAAS, and protein efficiency ratio than animal proteins.”

Figure II. Table rating protein quality of different foods. Taken from Hoffman & Falvo (2005)
That’s why within the protein quality ranking, egg and dairy products score the highest. However, when we talk about dairy proteins, we know not all are the same.
There is whey and caseinate (mainly calcium, sodium caseinate, and micellar casein)

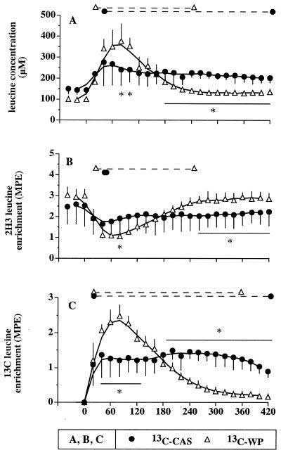
Figure III. (A) leucine concentrations in plasma, (B) enrichment of the 2H3 marker in I.V. infusion, and (C) enrichment of the 13C marker administered orally, after a meal consisting of whey protein (13C-WP study) and casein (13C-CAS study). Taken from Boirie et al. (1997)
Evonight 2.0 from SportSeries
That’s why using a “mixed” protein, known as sequential proteins, is a very suitable option to use:
For this reason, HSN has launched Evonight 2.0, a sequential release protein whose sources are:
- Whey protein (Concentrate and Isolate)
- Egg albumin
- Caseinate and Milk Protein
Combining 3 protein sources of the highest quality, with different absorption kinetics, which translates into a great net protein utilization, from sources with high biological value.
Our goal will be to maintain a Positive Nitrogen Balance state for as long as possible. This is related to the availability of nutrients circulating in our bloodstream, that is, the presence of amino acids.
To achieve this, betting on a type of protein that allows us to supply amino acids during periods when we won’t be eating is a very feasible strategy to promote our progress and gains.

Promoting a Positive Nitrogen Balance state will be key to achieving optimal recovery, repair, and growth of muscle tissues.
States of Nitrogen Balance
Positive
It’s the optimal state for muscle growth to take place
It’s when nitrogen intake is greater than output. Basically, it indicates that the body has properly recovered from the last workout. The greater the nitrogen retention capacity, the faster the recovery processes.
Negative
It’s the worst state for a bodybuilder, occurring when nitrogen loss is greater than intake
Not only is nitrogen taken from muscles, necessary for growth, but also from vital organs, which can cause significant damage. Of course, a negative nitrogen balance state destroys muscle and puts the body in a catabolic state.
Equilibrium
This state would be, so to speak, less bad than the previous one, mainly because it avoids catabolism, but as it happens, where the same amount of nitrogen excreted equals intake, we stay at the same point. No muscle gains occur.
How to Achieve a Positive Nitrogen Balance
The fundamental principle will be to consume an adequate amount of protein. In fact, continuous consumption of this macronutrient throughout the day is enough to meet this premise.
If the idea is to maintain this balance, aiming for maximum development, we can consider the following scheme:
- To minimize muscle breakdown during training, we’ll create an insulin spike (an anabolic hormone that increases amino acid and glucose uptake into muscle cells) by ingesting a drink composed of easily assimilated carbohydrates and amino acids or whey, about 30-60 minutes before training
- Consume the same mix once training is finished, which will promote protein synthesis
- Before sleeping, within the daily protein amount, take a drink composed of sustained-release proteins
- Get enough rest. During this period muscle tissue creation takes place, once the stimulus (training) is over

Train “Anabolically”
Training itself is anabolic, since it creates the necessary stimulus to then be processed and direct the body to protein synthesis, but the point here is to organize training to maximize that stimulus.
The idea, when training to maximize positive nitrogen balance, is to stimulate the greatest amount of muscle fibers with the least possible muscle breakdown
Once the training session is over, muscles should be in an anabolic state, to speed up the positive balance. But sessions that are too long leave muscles very exhausted, resulting in a catabolic state.
To train anabolically:
- Train when the body is fully rested from the last workout, that is, when it’s in a positive nitrogen balance state
- Short and intense workouts, lasting around 45-60 minutes
- Prioritize basic exercises: squat, deadlift, push press, row, bench press, pull ups, …
- Train again only when fully recovered
References
- Boirie, Y., Dangin, M., Gachon, P., Vasson, M. P., Maubois, J. L., & Beaufrère, B. (1997). Slow and fast dietary proteins differently modulate postprandial protein accretion. Proceedings of the National Academy of Sciences of the United States of America, 94(26), 14930–14935.
- Halliday, D., & Rennie, M. J. (1982). The use of stable isotopes for diagnosis and clinical research. Clinical Science (London, England : 1979), 63(6), 485–496.
- Hoffman, J. R., & Falvo, M. J. (2004). Protein – Which is Best? Journal of Sports Science & Medicine, 3(3), 118–130.
- Poortmans, J. R., Carpentier, A., Pereira-Lancha, L. O., & Lancha, A. J. (2012). Protein turnover, amino acid requirements and recommendations for athletes and active populations. Brazilian Journal of Medical and Biological Research = Revista Brasileira de Pesquisas Medicas e Biologicas, 45(10), 875–890. https://doi.org/10.1590/S0100-879X2012007500096
- Schoenfeld, B. J., & Aragon, A. A. (2018). How much protein can the body use in a single meal for muscle-building? Implications for daily protein distribution. Journal of the International Society of Sports Nutrition, 15(1), 10. https://doi.org/10.1186/s12970-018-0215-1
Related Posts
- Micellar Casein vs Calcium Caseinate
- Protein Shakes: What They Are, Types, Why They’re Taken, Benefits

Fitness, Nutrition, Health and Sports Blog In the HSNstore Blog you will find tips about Fitness, sport in general, nutrition, and health – HSNstore.com 

